O bir işkolik:)
Home » Trigonometrik değerleri bulurken onlarca formülü ezberlemeye son! » 3
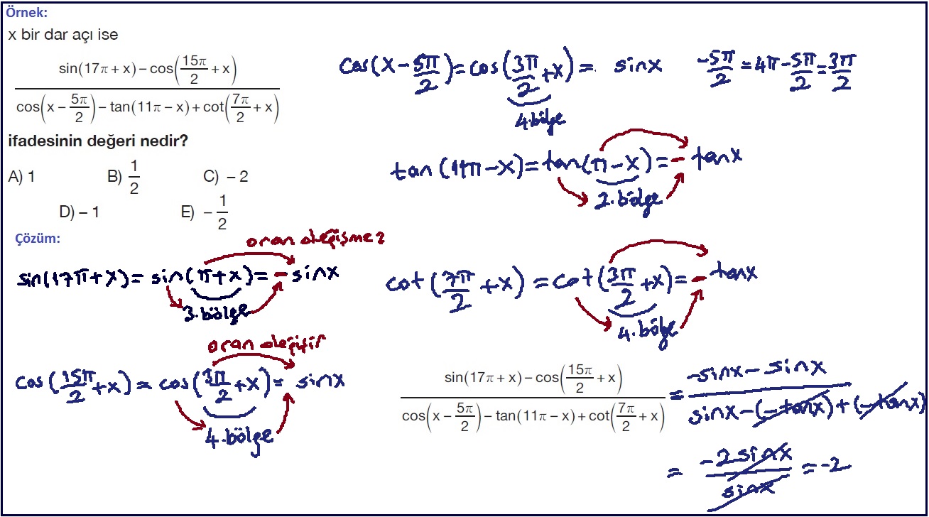
Trigonometrik değerlerin bulunması-3
E-posta adresiniz yayınlanmayacak. Gerekli alanlar * ile işaretlenmişlerdir
Yorum *
Ad *
E-posta *
İnternet sitesi
Daha sonraki yorumlarımda kullanılması için adım, e-posta adresim ve site adresim bu tarayıcıya kaydedilsin.
Δ